
All the problems are extracted from our publication "Computational Fluid Dynamics Recipes - Outline & Worked Examples" and all formulae references are from the book. To order our publications, please visit our page here.
We will add more and more problems as we go on.
To support this effort, please either order our publications or ask you library to do so.
Consider a towdimensional thin plate of thickness t, height H and width W, shown in Figure 8.7. The west boundary receives a steady heat flux of q˙west and the south and the east boundaries are insulated. The north boundary is kept at TNorth. Find the steady state temperature distribution in this plate. Assume: t = 1.cm, κ = 1000W/mK, q˙W = 500kW/m2, Tnorth = 100◦C, H = 0.4m and W =0.3m
The integral equation for a two-dimensional problem is given by the Eqn.(7.22)
Assume a uniform grid with Δ x = Δ y = 0.1cm, where (i = 1 → imax and j = 1 → jmax) as shown in Figure 8.8.
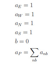
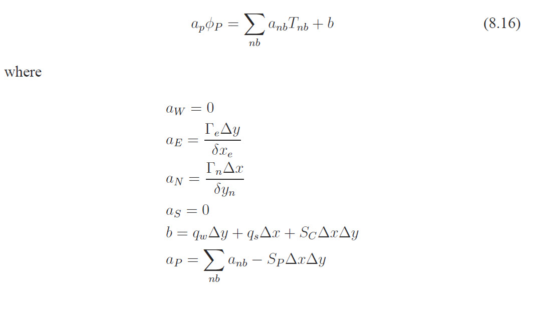
In this problem we have Neumann boundary conditions on three boundaries, west, east and south, and Dirichlet boundary condition on the north boundary. Furthermore, in addition to the distinction between the inner and boundary nodes, we need to distinct the corner cells. These cells have two faces exposed to the boundaries. The discretized equation in two dimensions is given by Eqn.(7.25).
The face areas are given by
Aw = Δ y × thickness,
Ae = Δ y × thickness,
An = Δ x × thickness,
As = Δ x × thickness
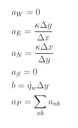
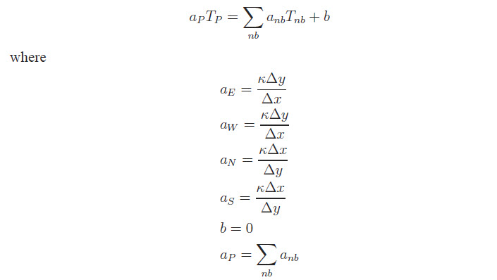
Assuming i, j and k are zero at the origin, i = Imax and j = Jmax at the north and east boundaries, and there are no heat sources or sinks, from Eqn.(7.25) we can write
With equal spacing (Δ x = Δ y) and constant thickness, if we multiply both side of the discretized equation by (Δ x / κ Δ y) , we will have
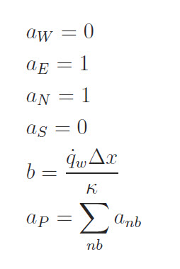
This boundary has a Neumann boundary condition with qb = q˙w. According to Eqn.(7.35) we have
Similar to the inner nodes, if we multiply all parameters by (Δ x / κ Δ y) , we get
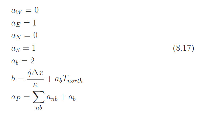
This boundary has a Dirichlet boundary condition. From Eqn.(7.34), we can write
This is another Neumann boundary condition with qb = 0. According to Eqn.(7.35) we have
Similar to the east boundary, we have
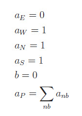
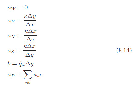
The corner cells have boundary conditions acting on two of their faces. This particular control volume has a Neumann boundary conditions on its west and south faces. Let us assume the flux on the west boundary is qw and on the south boundary is qs, which is zero here. Then, following the argument for Eqn.(7.35), we can easily set up the discretized equation for SW corner cell as
For the problem in hand we have qw = q˙w, qs = 0 and S = 0. Therefore,
or
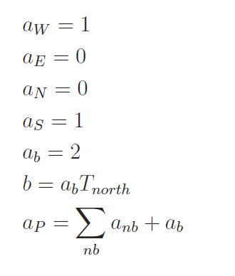
For this cell, we have a Neumann boundary on the west face and a Dirichlet boundary on the north side. Therefore we need to combine Eqns.7.34 and 7.35 to discretize the transport equation for this cell. Following the same procedures, we can write
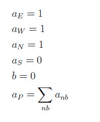
This cell is similar to the NW corner and we can write
The control volume at the SE corner has a similar situation as the SW corner. Hence we can rewrite Eqn.(6) as
We use the Gauss-Seidel method of Section3.1.1 to solve these equations. Assuming Imax = 20, Jmax = 21 and allowable error of 0.0001, the iteration converged after 1152 steps.
The contour plot of the temperature is shown in Figure 8.9.