
All the problems are extracted from our publication "Computational Fluid Dynamics Recipes - Outline & Worked Examples" and all formulae references are from the book. To order our publications, please visit our page here.
We will add more and more problems as we go on.
To support this effort, please either order our publications or ask you library to do so.
Example 8.2 - 1D Heat Cconduction: Circular Fin
Consider a cylindrical fin with uniform crosssectional area A, shown in Figure 8.4. The base is at temperature of Tb and the tip is insulated. The fin is exposed to an ambient temperature of T∞. Calculate the temperature distribution along the fin and compare the results with the analytical solution. Data : TB = 100◦C, T∞ = 20◦C, L = 1 m, Peclet Number=(Pe)=hP/(κA) = 25/m2 and κ is constant.
Heat is conducted along the fin and it is convected from the surface of the fin. The exact solution is given by
The problem is in a steady state, that is, the same amount of the heat conducted from the base of the fin is removed from the fin by convection from the surface of it. Convection is given by the Newton’s law of convection
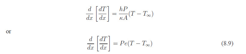
where h is the convective heat transfer coefficient, P is the perimeter area of the fin, and T∞ is the ambient temperature. Then we have
where κ is the thermal conductivity
Equation (8.8) is a onedimensional diffusion equation with a heat sink, which is a function of temperature at each node. From the mathematical point of view, we have a mixed boundary, as explained in Section7.4.3.
Since (κA) is constant, Eqn.(8.8) can be rewritten as
where Pe is the Peclet number.
Integrating this equation will result in
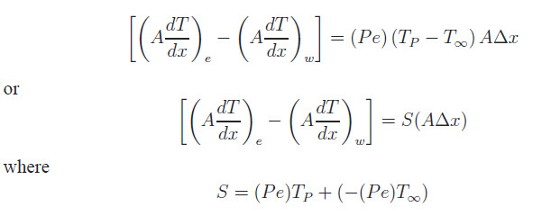
Using the Gauss’ theorem, Eqn.(1.6), we may rewrite Eqn.(8.10) as:
We could use a uniform grid with Δ x = 0.2m. The grid structure shown in Figure 8.5
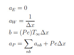
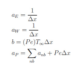
The discretization of the first integral in Eqn.(8.11) is similar to the previous Example. We should distinguish between three types of nodes (or control volumes): the inner nodes, the tip node (west boundary), and the base or the wall node (east boundary).
Since the fin is small in diameter, we have assumed that the fin’s surface temperature is the same as its center point P. Then, we can write
With reference to Eqn.(7.7), we have
Finally we can write
where
This tip is insulated. That is, we have
This is a Neumann boundary condition. According to Eqn.(7.35), we can write
where
Here, we have a Dirichlet boundary condition:
Using Eqn.(7.33), we can write
We use the Gauss-Seidel method of Section3.1.1 to solve these equations. The iteration converged after 10 steps for the allowed error of 0.0001. The temperature distribution is shown in Figure 8.3.