
All the problems are extracted from our publication "Computational Fluid Dynamics Recipes - Outline & Worked Examples" and all formulae references are from the book. To order our publications, please visit our page here.
We will add more and more problems as we go on.
To support this effort, please either order our publications or ask you library to do so.
Example 8.1 - 1D Heat Conduction without a source
Consider heat conduction in an insulated bar whose ends are kept at constant temperature, as shown in Figure 8.1. Solve the heat conduction equation and find the temperature distribution in the bar. Data: T wb = 100◦C, Teb = 500◦C, κ = 1000 W/m.K, A = 0.001 m2, L = 0.5 m
Since heat can only be transfered through the ends of the bar, this is a onedimensional problem along the xaxis.
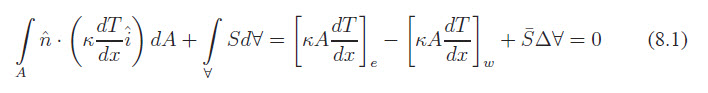
The integral equations for a typical control volume can be written in accordance with Eqn.(7.4). Bearing in mind that here we have φ = T and Γ = κ, we may write
We use an equally spaced grid, that is a uniform grid, in a way that the east face of the first control volume is on the east boundary and the west face on the west boundary. The spatial increment Δx has been chosen such that the number of control volumes are exact multiplier of the length of the bar. Of course any other arrangement can be used as long as you are consistent in your formulation.
In discretizing Eqn.(8.1), we need to distinguish between the inner cells and boundary cells.
For the inner cells we use the discretization of Eqn.(7.19) to write
where
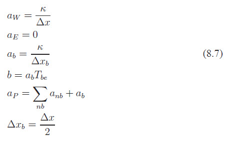
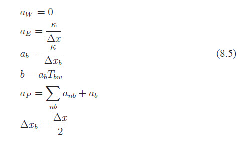
Here, we have a Dirichlet boundary condition Tw = Twb. Using Eqn.(7.34), we can write
where
This is similar to the west boundary and we can write
where
We use the GaussSeidel method of Section3.1.1 to solve these equations. The iteration converged after 24 steps for the allowed error of 0.0001. The temperature distribution is shown in Figure 8.3.