
All the problems are extracted from our publication "Computational Fluid Dynamics Recipes - Outline & Worked Examples" and all formulae references are from the book. To order our publications, please visit our page here.
We will add more and more problems as we go on.
To support this effort, please either order our publications or ask you library to do so.
Example 15.1 - One - Dimensional Convection - Conduction - Upwind Differencing
A scalar property φ is transported by an incompressible flow, as shown in Figure(14.2)
Find the distribution of φ as a function of x using upwind method for the convective terms in the following cases:
u = 0.2m/s
u = 2.5m/s
compare the results with the analytical solution
We use a five equally spaced grid as shown in Figure 14.3.1
Using the upwind method explained in Chapter 15, we have
The conservation law for this control volume would be
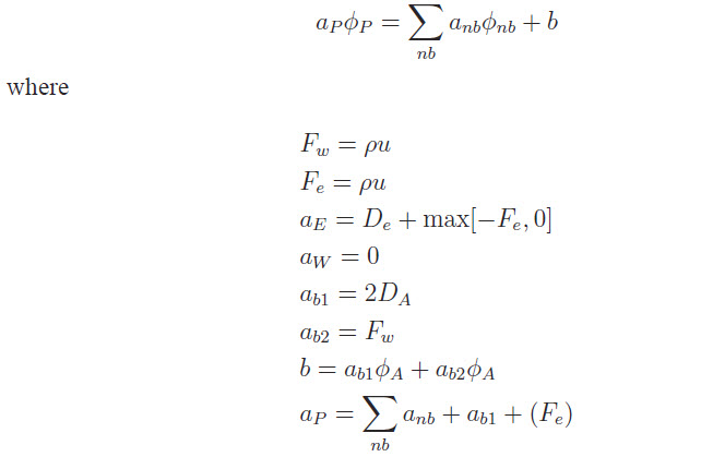
Using the Dirichlet boundary condition on the west face, we get
Then
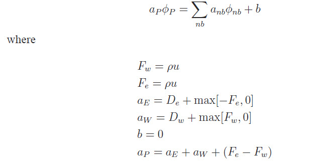
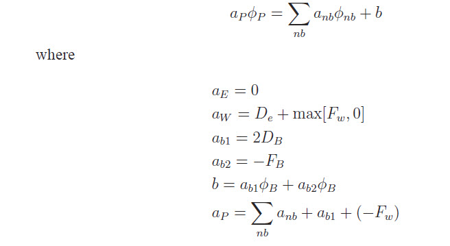
The balance equation is
Then
The obtained results vs the exact values can be plotted as shown in Figure 15.1
The obtained results vs the exact values can be plotted as shown in Figure 15.2
It is obvious that with the increase in the velocity the result does not show any oscillations. However, here we see that the sharp gradient of the exact solution has been smeared out by the upwind method. The amount of smearing depends on many factors, including the grid size. If we reduce Δx, the smearing will decrease as shown in Figure 15.3 and will be discussed in the next chapter.